32-bitový jednočipový prípravok SMT3210C-EVAL
| Miestnosť | Laboratórium moderných metód riadenia fyzikálnych systémov V108a (V142a) |
| Správca modelu | Bc. Tomáš Tkáčik |
| Výrobca | Bc. Tomáš Tkáčik |
Model obsahuje laserové zariadenie triedy 1, ktoré za štandardných prevádzkových podmienok nepredstavuje zdravotné riziko ani pri dlhodobom priamom sledovaní zväzku. Laserový zväzok nie je viditeľný voľným okom.


- laboratórny model levitácie založený na princípe veterného tunela
- podstatou je udržať guľôčku na stanovenej pozícií pomocou regulácie rýchlosti vzduchu v trubici
- nestabilný SISO nelineárny model s jedným vstupom a jedným výstupom
- vhodný na
- analytickú a experimentálnu identifikáciu
- návrh a overenie klasických a moderných algoritmov riadenia
- prezentáciu výskumnej skupiny CMMRaPI
- model je možné riadiť aj bez potreby počítača
- komunikačné rozhranie na počítači je implementované v jazyku Python

- Model pozostáva z dvoch subsystémov: subsystém ventilátor a subsystém guľôčky v trubici.
- Subsystém ventilátora je ovládaný napätím . Výstupom tohto subsystému je ruhlová rýchlosť motora , ktorá je priamoúmerná rýchlosti vzduchu v trubici.
- Subsystém guľôčky v trubici je závislý od rýchlosti vzduchu a jeho výstupom je poloha guľôčky . Tá je snímaná laserovým senzorom vzdialenosti VL53L0X.
- Model je riadený jednočipovým mikropočítačom ATmega328P, ktorý je s ostatnými komponentami zabezpečujúcimi riadenie jednotlivých periférií modelu umiestnený na základnej doske.


Model subsystému ventilátora (originálny):
Model subsystému ventilátora bol zjednodušený, nakoľko pôvodný matematický model obsahoval 6 parametrov a zjednodušený len 2.
Model subsystému ventilátora (zjednodušený):![]()
![]()
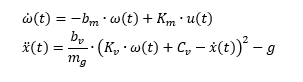
Model subsystému guľôčky v trubici:
Celkový model:
Parametre modelu:

Stavové veličiny:

- riadiace vstupy
- napätia ventilátora , ktoré je ovládané PWM signálom
- merané veličiny
- uhlová rýchlosť ventilátora
- pozícia guľôčky

